【信息汇总】各省医疗器械许可备案(内含清单)
日期:2020年10月12日 苏州大学卫生与环境技术研究所 阅读量:2677

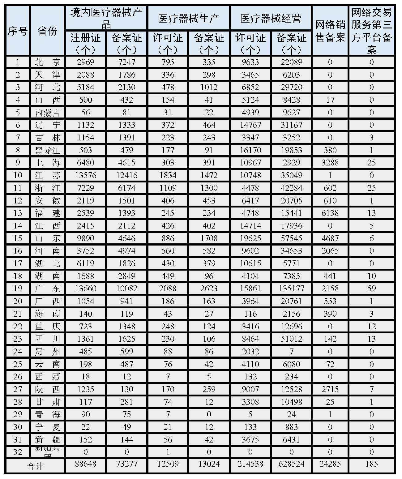
20200917日,国家药品监督管理局发布《各省医疗器械许可备案相关信息》(截至2020831日),旨在进一步满足企业公众查询医疗器械监管信息的需要,强化社会监督与社会共治。

国家药监局汇总了各省有效期内医疗器械产品注册备案、医疗器械生产企业许可备案、医疗器械经营企业许可备案、医疗器械网络销售备案、医疗器械网络交易服务第三方平台备案信息(见下方表格),现按月公布。具体数据可点击国家药监局数据查询页面医疗器械模块查询(http://app1.nmpa.gov.cn/data_nmpa/face3/dir.html?type=ylqx)。如对数据有疑问,请按网站数据库公布的纠错维护方式操作。

原文链接https://www.nmpa.gov.cn/ylqx/ylqxjgdt/20200917154545166.html

 【原文来源】国家药品监督管理局

【全文整理】苏州大学卫生与环境技术研究所

【声明】如果您认为我们的内容或来源标注与原文不符,请告知我们,我们将与您积极协商解决。谢谢大家的关注。